Version du
09/06/18



























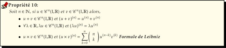
Une démonstration de ce résultat est disponible.
Une figure interactive est disponible.
Une vidéo est disponible.
Une aide est disponible.
Une réponse est disponible.
Une solution rédigée est disponible.